Homepage

TCRobots

Links to Killough platforms: A guy in the Twin Cities that has the Lego version that inspired the whole thing
Another Lego version that probably inspired the local guy
Another LEGO version
Discover Magazine awards page (Look for Killough)
Oak Ridge National Lab's Robot page with Killough's wheelchair
A Palm pilot with omni-wheels
Designs for the Trippy platform: Block diagram
Pictures of the Trippy platform: Wheel Mount diagram
One wheel mount
Entire robot
Entire robot upside down
Me with Trippy
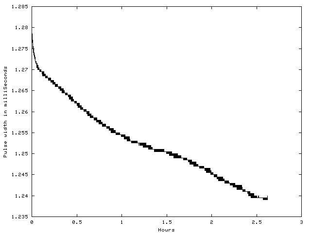
Peizo gyro information: Short-term Gyro drift
Long-term Gyro drift zoomed in
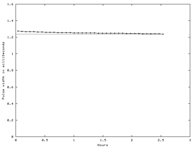
Long-term Gyro drift
Gyration Gyro information
For my Mechatronics BS degree: Project Description
Progress reports: Mar 2002: Wheel replacement
Mar 2002: PCB fabrication
Nov 2002: LCD test and NiCd charger
Nov 2002: LCD installation
Nov 2002: Gyrocompass installation
Dec 2002: Radio link installation
Jul 2003: Radio link testing
Nov 2008: Compass testing
References: Micro Mo motors
Micro Mo Encoders