This page created 07/03/2001
Kilian's Sunday Robot Shop of Horrors - 07/02/2001
Last Friday, Brynn brought over Tryclops' eye, and we setup a CCD camera
at the focal plane, and did some testing.
see: TryRange
Well, OF COURSE, Jeff Sampson suggested just taking a regular laser pointer
and angling it out in front of the camera and watching the spot move, so I
tried it last night.
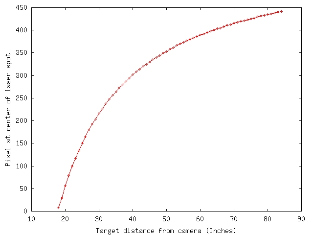
The plot at the bottom of this page shows the pixel that the spot hits
while I move a sheet of white paper slowly away from the camera.
This was done with the full room lights and fluorescent light on.
So, since I like these results, I'm going to try spinning a mirror and taking
ranges this way, and we'll see...
Click thumbnails for a larger view.
More RSOH
Rangefinder test setup
The camera, lens and laser
|
The business end of the camera, lens and laser
|
The camera's view of a spot 1 Foot from the camera.
|
The camera's view of a spot 10 Feet from the camera.
|
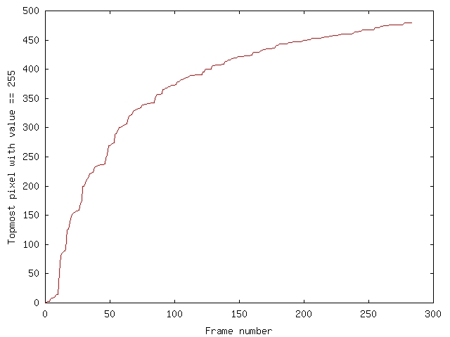
A plot of top-pixel VS Range
|
A plot of center-pixel VS Range in Inches
|
An image of a projected laser circle from
a spinning piece of glass projected onto
cardboard
|
An image of a projected laser circle from
a spinning piece of mirror projected onto
the wall 10 feet away. ROOM LIGHS ON!!!
|
An image of a projected laser circle from
a spinning piece of mirror projected onto
the wall 10 feet away. ROOM LIGHS ON!!!
|
An image of a projected laser circle from
a spinning piece of mirror projected onto
the wall 10 feet away. ROOM LIGHS ON!!!
Motor spinning slower
|
An image of a projected laser circle from
a spinning piece of mirror projected onto
the wall 10 feet away. ROOM LIGHS ON!!!
Motor spinning slower
|